发布时间:2023-01-28 浏览次数:1241
2022年11月17日,由中国医学装备协会应用评价分会主办,北京水木济衡生物技术有限公司承办的《体外诊断试剂研发全流程管理培训课》第三期分析性能评价课程正式开课,培训课程持续三天,邀请了多位行业资深专家授课,吸引了上百家企业参加。
培训的最后一天,设置了讨论环节,多位专家就学员提出的问题进行了详细的解答,现将部分问题及专家回复整理如下。
本节主要针对正确度评价中的比对试验。
	
 
21:咨询问题
正确度评价,参考物质、比对试验、回收试验这三种方式选择上有优先级吗?有些项目,尽管有有证参考物质,但是购买不到,可否采用方法学比对的方式?
专家答复
正确度评价有三种方法:
第一种方法是分析具有被测量参考量值的适当参考物质;
第二种方法是基于用患者样品进行方法学比对并估计偏倚,此种偏倚实际上是两种方法之间的系统误差;
考虑到前两种评价方法的可获得性有所限制,因此在有些情况下,可采用第三种方法即回收试验,但要注意的是回收试验评价的不是真正的“偏倚”。
原则上,有可用的参考物质的话,优先采用参考物质进行正确度评价,这种方法也是操作起来最简单、最便捷的方法。当参考物质不能获得时,可采用比对试验。
	
 
22:咨询问题
当企业无法获得大量人血清的情况下,可以用其他的血清做实验吗?有推荐的可购买的血清吗?
专家答复
比对试验应尽可能使用临床样品。
若样品量缺少不够用于重复测定或测量区间的某些样品难以获得时,可通过混合、添加、稀释等办法进行处理。处理过程可能会引起样品互换性问题,因此使用处理过的样品应进行标注和记录,建议处理过的样品不超过样品总数的20%。
	
 
23:咨询问题
不同的比对试验方案参考的法规或方法不同,结果不同,那我们做出选择时,有哪些较好的判断依据没有?比如什么情况下选择多少例样本,如何判断等?
专家答复
正如培训时老师讲到,比对试验可参考的文件如下。
	
 
在进行比对试验,我们考虑的因素包括:
怎样选择目标检测系统(参比方法)?选择多少份标本n=?选择标本的浓度或浓度范围是多少?每天检测多少批?批间间隔时间?每批检测标本数及检测顺序?共需多少工作日?数据怎样处理?偏倚的判断标准怎样设置?不接受的项目怎样整改?不接受的项目整改后怎样验证?由于参考的文件不同,以上考虑因素也有差异,因此评价结果或结论也有可能不同。
我们一定要基于我们的评价目的(建立性能指标?确认?验证?),选择合适的、最新的、法规认可的方法。
目前,行业内参考较多的是CLSI EP09c Measurement Procedure Comparison and Bias Estimation Using Patient Samples(用患者样品进行测量方法比对及偏倚估计,2018年)。CLSI EP09c要求样本数量不少于100例。
	
 
24:咨询问题
OLR、WLS、Deming、Passing-Bablok四种回归统计方式是否可提供经典案例分析举例,以便更好的理解和应用。或者有没有专门医学统计学与产品结合的分析应用的学习平台,求讲解和推荐。
专家答复
CLSI EP09c的附录给出了这4种模型的公式和案例,另外YY/T 1789.2-2021《体外诊断检验系统 性能评价方法 第2部分:正确度》的附录也给出了这4种回归模型的示例,建议大家仔细学习。
	
 
25:咨询问题
待评方法和参比方法统计分析时,Deming和passing-bablok两种回归方法的具体区别是什么?
专家答复
OLR对数据的分布、等方差性等有较为严格的要求,要求因变量与自变量关系为线性、误差服从均数为0的正态分布且方差相等、各观测独立、x无误差等。在医学检验和IVD实际工作中,常常需要比较两种仪器、两种方法或两个不同实验室的测量结果是否相同,由于因变量(y)和自变量(x)都包含测量误差(随机变量),不符合最小二乘回归的假设条件。
因此Deming回归和passing-bablok回归虽然是两种比较小众的回归方法,却在我们这个领域用的比较多。
比对试验,一般情况下,方法间差值混合变化时,可选择Deming回归或Passing-bablok回归。Deming回归在建立y对x的回归方程中,同时考虑x的残差最小和y的残差最小。passing-bablok,相当于把任意的两个点,计算其斜率,如果有4个点,就能计算出6个点的斜率,Passing-bablok回归线的斜率为所有这些斜率的中位数。
比较而言,Deming方法有时不能消除一些差异变化较大数据点的影响,Passing-bablok为非参数方法,统计更宽松,不考虑随机误差有多大。强调的是EP09c要求须先通过散点图、偏差图、柱状图等方法从不同角度联合评价,从而选择最佳回归模型进行拟合分析。
	
 
26:咨询问题
r是最小二乘法得到的还是最适合方程得到的呢?
专家答复
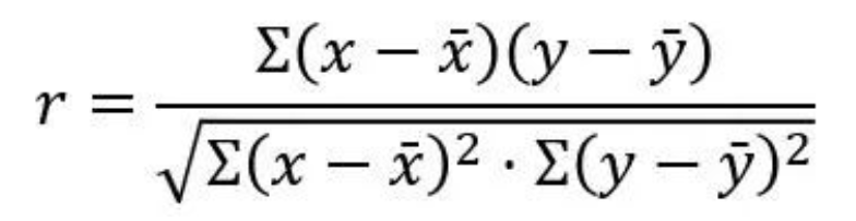
方法学比较,在进行回归统计的时候,往往先计算相关系数(r)。
相关系数计算公示如下,r反映了组成这条最小二乘回归直线上所有实验点对于线的紧密程度。r值越大,说明两个方法检测患者样品检测结果间关系密切(密切≠相等,r不是x和y方法结果一致的指标),这时候可以进行回归统计了解两个方法检测数据间的数学关系了。
	
 
	
 
27:咨询问题
方法比对中,分析质量目标、总误差分析目标、TEa等的设定依据有哪些?
专家答复
1999年斯德哥尔摩会议提出了分析质量指标设定的几种原则和方法:
(1)评估分析性能对临床决定的影响;
(2)检验项目的生物学变异;
(3)已发表的专业建议;
(4)性能目标由监督机构、或室间质量评估计划组织者设定;
(5)现有技术水平能达到的性能水平。
2014年米兰会议重新修订了分析性能指标的“共识声明(Consensus statement)”,由原来的五个等级简化为三个等级,并且增加了注释。
	
 
国内一些标准,例如WS/T 403-2012《临床生物化学检验常规项目分析质量指标》,还有医药行业标准(YY标准)中的一些产品标准,都给出了常规项目的变异系数、偏倚、总误差要求。
	
 
28:咨询问题
方法学比对实验中,离群值剔除的标准是什么?
专家答复
离群值产生有两种来源:
一是技术错误造成的,即样品错误、测试时的操作错误、仪器故障、计算错误、录入测试结果时的简单书写错误等造成的,这样的离群值可以直接剔除,或剔除后再做实验补数据;
第二种来源是不能用技术错误解释的,产生于试验条件、试验方法等因素的偶然偏离,这时就要进行统计处理来决定离群值是保留还是剔除。离群值的取舍对分析结果会产生很大影响,必须谨慎对待,在离群值产生的原因不明之前,不应简单决定其取舍。
在做离群值检验时,要预先规定检出离群值个数的上限,若检出的离群值个数超过了这个上限时,对这一组测量应做慎重的研究或处理。
EP09c推荐用广义极端学生化偏差(Extreme Studentized deviate, ESD)方法检验离群值,离群值的数量不应超过5%。
	
 
29:咨询问题
利用格拉布斯法(Grubbs)检验法检验离群值时,选用EXCEL编辑的公式和MedCalc软件进行统计分析(选取同样的α值),结果不一致,一般是EXCEL显示有离群值,MedCalc软件显示无离群值,请问这个是什么原因导致的?软件选择界面如下:
	
 
专家答复
格拉布斯法计算公式应该是一样的,可能用软件的时候是选择了右侧检验而excel可能是双侧检验的原因,建议软件也使用双侧检验试一下。
	
 
30:咨询问题
关于数据正态分布的统计判断,S-W和K-S分别参考时机?如果是基于样本量来判断的话,那么在不同样本量分别优先考虑哪种判断方法?
专家答复
通常W检验是小样本量,医学统计中样本量为8-50时使用W(S-W)检验,样本量大于50时使用D(K-S)检验。
不同的统计软件对于W、D检验样本量的使用要求不同,如SAS应该是2000,SPSS可能是5000。
	
 
	
	
本专家解答仅代表专家个人观点,不代表任何机构,不能替代相关法律法规,仅作参考用。
未完待续。
电话:010-69436691 / 13051159587
企业邮箱:smjh-sales@zgcsm.cn
公司地址:北京市北京经济技术开发区博兴五路10号1幢4层418、419
                            微信公众号
                        
                            添加微信
                        北京水木济衡生物技术有限公司 (C)2022-2023 京ICP备2021004626号-1